全力以赴,你会很酷——安博在线平台卡路里大赛圆满结束
本次卡路里比赛已成功落下了帷幕,每一位积极运动打卡的参赛者以矫健的身姿给校园增添了无限的活力,并带动了更多的同学加入到运动之中。在汗水中,他们不仅找到了自信与健康,也找到了最好的生活状态。
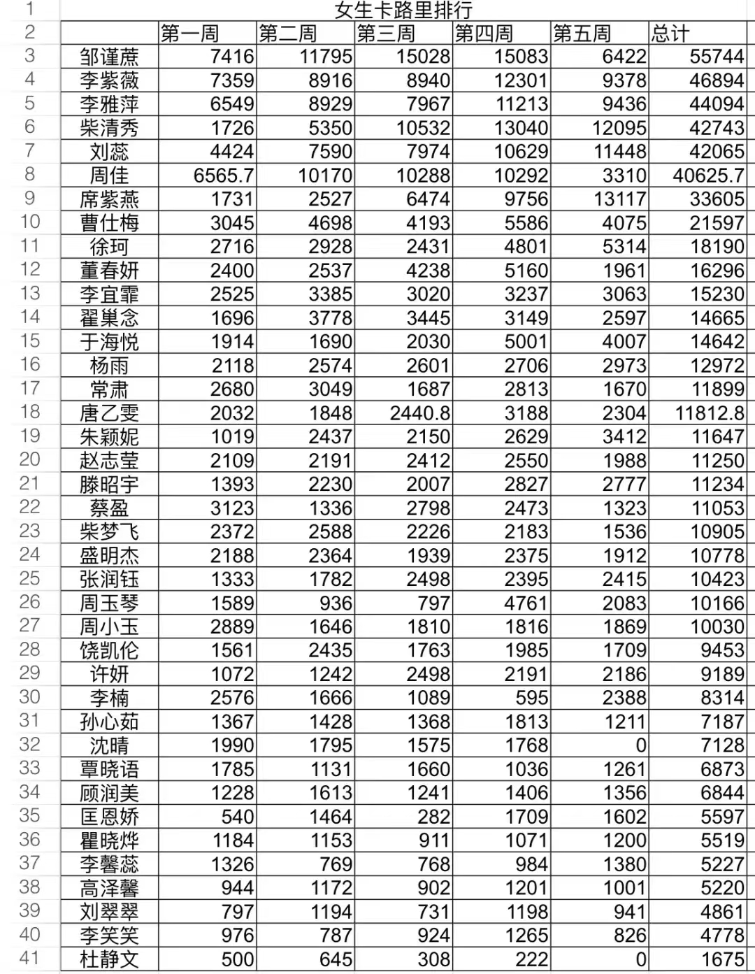
卡路里大赛——终极打卡排名


接下来,揭晓本次卡路里比赛的获奖名单,恭喜以下同学分别获得比赛的一等奖、二等奖与三等奖!

其余参与的同学们也都积极展现运动之美,为所有,尽所能。虽未获得奖项,但运动真正的目的,不是为了赢得一场比赛,而是试探内心的极限,每一个积极参与的同学都是赢家。


“肌”情动力,强健势不可挡,身体和灵魂总有一个在路上,如果读书累了就运动起来吧,痛快的感觉远比坐在宿舍里想象跑要好得多。希望同学们日后也能继续坚持下去,生命不息,运动不止。